Hello,
I have a small terminal type app that displays some data in a RadTextBoxControl as it arrives. Events are fired and data is displayed on the screen by way of the RadTextBoxControl. That part works great.
When certain strings arrive, I'd like to replace it with a hyperlink or button of sorts. I found the example for Creating Custom Blocks (https://docs.telerik.com/devtools/winforms/controls/editors/textboxcontrol/creating-custom-blocks) and this looked really promising. But, the issue I had there is that this event fires on on lots of different characters. Meaning, you can't use it to parse out a line of text and then replace it with a custom object. You parse each block as it comes in.
Ideally, I want certain types of text, like "<link cmd=".cm*">Run custom command</link>" to be replaced with some text that looks like "Run custom command" but in a way that it acts like a hyperlink where I can register for its click event and do whatever I need to do. This is proving to be pretty tricky for me but I have a feeling Telerik controls probably have a way :)
Thanks,
Michael

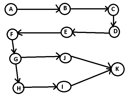
Hello Telerik,
Sorry, is it possible to create something like (I'm not really sure what it calls) flow or line with nodes or checkpoint ? Maybe like this image
Or like, if we played an adventure game, an on that game there was a map that shows where we were and what was the next quest or city, or anything.
Thanks before.

Hello Team,
In cell biginedit, the text is selected and focused at the end of the value. If I click the cell, the text shows the front text. clicking on the tab key. The cell value again shows the last value. It should show the first value.
Using this code to bind the grid cell - Microsoft.VisualBasic.Val(7)/1000 & Left (CD & Space (20), 20)
Here, the cell value shows "7", but we need to show a "CD" on the front. Please help us resolve this issue. A video link has been added for your convenience.
Screenshot : https://prnt.sc/_ZlhOr-sovVe

Hi,
I am trying to do Drag&Drop as show in the Telerik documentation (see https://docs.telerik.com/devtools/winforms/controls/gridview/rows/drag-and-drop).
I tried to implement it in three different ways:
1) after reading the doc, I downloaded the code and build it with VS2022. This code uses .Net Framework 4.6.1 and works exactly as expected.
2) Then, I tried to add it to my current project using .Net 6 and the current Telerik Library. I did it both in the form where it should be used and in a dedicated form with the exact code provided. In both cases, I have the 'strange' behavior that the drag works but as soon as the grabed row is movingout of its origin, a "no entry" sign is shown both in some area of the initial grid view and everywhere in the destination one (see picture).
3 Then I tried to do it in a brand new .Net 6 project to dismiss a potential setup in my project. In this third one evrything compile and run nicely, BUT there is absolutely no drag and drop behavior.
I attached this last project, but it is really exactly the downloaded code.
So can someone explain what is wrong in this code or my way to use it ?
Many thanks
Patrick

Hi.
I'm trying to draw a specific graph using RadChartView.
However, I couldn't find a way to remove the border line, which is marked with a red arrow in the attached image.
The background color must be Transparent.
Please tell me how to remove only those lines.

I'm following the example from https://www.telerik.com/forums/object-bound-hierarchy#711007, which describes how to create an object-based hierarchy. An excellent example.
I'm now trying to modify that example to look how I want, and I've done everything apart from the critical bit - adding the row of 'child' data.
For a normal row, I would do:
Dim gvdi As New GridViewDataRowInfo(myGrid.MasterView)
With gvdi
.Cells("name").Value = t.name
.Cells("status").Value = t.status
.Tag = t '...plus any other columns I need
End With
The example uses the simpler constructor for a new child row, like:
childTemplate.Rows.Add(t.id, tt.name, tt.status) '....where 't' is my object.
This also works fine
But now I'd like to use the first style of constructor for the child row, and I can't work out how to do it.
When I use the first bit of code, the runtime complains that it's not a GridViewHierarchyRowInfo, so I changed it to be:
Dim gvdi As New GridViewHierarchyRowInfo(myGrid.MasterView)
'With gvdi
.Cells("name").Value = tt.name
.Cells("status").Value = tt.status
.Tag = tt
End With
...and that doesn't work either. Is it the GridViewHierarchyRowInfo(myGrid.MasterView) which is wrong?
Any ideas?
Thanks


I'm currently working on a project where we are using a RadDiagram to dynamically display and plan a distribution hall. Here we are using different elements/shapes in the diagram to represent storage shelves and spaces/spots in those shelves. We want to draw these shelves and their spots either horizontally from left to right or vertically from bottom to top. We want to do this by first drawing the shelve and its spots horizontally and then rotate the shelve using a custom RotationService, that rotates the shelve group programatically. This however has an unwanted side effect, which can be inspected in the provided demo app and below:
The rotation via the custom RotationService appears to move the shelve in the diagram to a "random" position depending on the RadDiagram zoom and scroll position. So a shelve can be drawn and rotated as expected in the first initialization of the diagram.
Initial Diagram creation:
If the diagrams zoom level and scroll position isn't changed a shelve can be selected and rotated using the switch button. This also works as expected.
Shelve rotation without zoom:
If however the zoom of the diagram is changed or the scroll position is changed, following a rotation of a shelve or the redraw of the whole diagram using the refresh button, the vertically rotated shape is moved to a differen position.
If the rotation of the shelve is repeated multiple times the postion of the rotated shape appears to migrate to a point in the diagram. If the shelve reaches this point it will start to rotate properly again, without further change in position.
Shelve rotation with zoom:
Refresh with zoom and different scroll positions:
As seen above the rotated shelve is drawn in different positions each time the diagrams zoom or scroll is changed. Is this due to a wrong implementation of the RotationService as seen in the Demo_Project or is it due to a bug?

Hello, it's me.
I'm modifying the Fluent theme. The button and other controls that use some of the same elements (e.g. the scroll "thumb") has a sort of "glow" with the mouse cursor along with border highlight and a white ring when pressed. Where can I change this? I removed pretty much every repository item for all elements/states besides text and fill but it's still there: