I have a table setup to group. If I group By InvoiceID, it work fine, it groups by Invoice. If I try to group by CustomerID I get either 1 or 0 groups returned. I know it's not the data because for every InvoiceID, there is a CustomerID, which you can see from my sample. What am I doing incorrectly??

Hi everyone,
Although small, but still noticeable problem concerning grids arises when having locked column.
The problem was pointed out by our UI testers.
So, in this jsFiddle sample, do the following :
As we resize the Locked column, other columns do not snap or fill the gap.
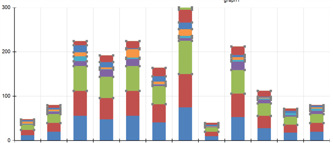
Similar to the following, is there a way to combine stacked and clustered columns within a single graph?

Each time I've attempted to do so I end up with something like the following, where both stacked columns appear vertically aligned, rather than aligned side-by-side. "Series2" is currently selected in my screenshot below, hence the visible grab points.
The steps I'm attempting to perform are as follows:
Thanks for any help!
Is there a way, in the report designer or code, to add a Grouping to a LIST control, so in the list, the data lists as/similar to the following
Module Field Old Value New Value
John Smith - 01/02/2022
User Font Courier New Times New Roman
User Color Green Yellow
Larry Jones - 01/01/2022
User Color Red Green
TIA
Hi there.
I have been looking into a customer request to print multiple copies of a report by default. I don't need to prevent the customer from being able to set the number of copies in the printer dialog, I am only interested in setting the initial/default value for the number of copies:
I found a fairly old thread with a similar query:
https://www.telerik.com/forums/pre-setting-the-number-of-copies-in-printer-dialog
In that thread, the recommendation is to generate a PDF from the report and then to use the Acrobat DC add-on to set the number of copies. Looking at the Adobe website, it seems that most modern browsers no longer support the Acrobat plug-in : https://helpx.adobe.com/nz/acrobat/using/display-pdf-in-browser.html
Is there another way that this can be accomplished?
Back in 2017 version of Telerik Reporting, I could create a .NET Web API with Telerik Reports where the report viewer is a series of js files that would realize any report I gave it.
In the MVC Model I'd have code (C#) like
public static Telerik.Reporting.TypeReportSource [Report Source Name]()
{
Telerik.Reporting.TypeReportSource oReportSrc = null;
try
{
oReportSrc = new Telerik.Reporting.TypeReportSource();
oReportSrc.TypeName = typeof(MyReports.[Report Name]).AssemblyQualifiedName;
}
catch (SystemException ex)
{
}
return oReportSrc;
}
In the MVC View (CSHTML) I would have code like
@section scripts
{
<script src="ReportViewer/js/telerikReportViewer-[version].js"></script>
<!--kendo.all.min.js can be used as well instead of kendo.web.min.js and kendo.mobile.min.js-->
<script src="~/Scripts/kendo/[version]/kendo.web.min.js"></script>
}
@{
var typeReportSource = [My App].Models.[Report Source Name] ();
typeReportSource.Parameters.Add(new Telerik.Reporting.Parameter("[variable name]", ViewBag..[variable name]));
}
@(Html.TelerikReporting().ReportViewer()
.Id("reportViewer1")
.ServiceUrl("/api/reports/")
.ReportSource(typeReportSource)
.ViewMode(ViewModes.INTERACTIVE)
.ScaleMode(ScaleModes.SPECIFIC)
.Scale(1.0)
//.PersistSession(false)
)
I'm a bit stymied by all the current examples and logic of Telerik Reporting where it all seems generic (not specific to the actual report) up until the report viewer is HTML containing javascript with hardcoded values specific to a single report (such as report: "Barcodes Report.trdp")
This is tedious and makes the product much less desirable because it (a) forces the developer to know/work with JavaScript and (b) adds an additional layer of complexity and development to every report.
I see the older style js in the install
Program Files (x86)\Progress\Telerik Reporting R2 2022\Html5\ReportViewer\js
Are the any demo/documentation on how to use what i would call the "older style" - for a Web API - where the report and properties are not hardcoded?
Hello everyone,
I keep bumping into this issue that if I use conditional format to make something visible it is not working.
So basically I have tables / texbtoxes etc. that are invisible and they should become visible if some fields have a certain content.
It is working if I set the box on visible and then in the condition set it to visible false but not otherwise.
I know that you can use bindings on the visibility but if there is a conditional feature it is far more simple to use that.
I attached an exampel - if you set the parameter to 1 or 0 either of the textboxes should be visible.
(p.s. I attached a trdx file, just renamed the ending.)
Best Regards Alex
[ReportViewer]
[Print Preview]
[ReportViewer - When Image Picture]
[Print Preview - When Image Picture]
This is Print.cshtml code.
<style>
#reportViewerLayout {
position: fixed;
left: 0px;
right: 0px;
top: 0px;
bottom: 0px;
overflow: hidden;
font-family: 'Arial', 'Courier New';
}
</style>
<script type="text/javascript">
$(document).ready(function () {
$("#reportViewerLayout")
.telerik_ReportViewer({
// The URL of the service which will serve reports.
// The URL corresponds to the name of the controller class (ReportsController).
// For more information on how to configure the service please check http://www.telerik.com/help/reporting/telerik-reporting-rest-conception.html.
serviceUrl: "/api/reports",
// The URL for custom report viewer template. The template can be edited -
// new functionalities can be added and unneeded ones can be removed.
// For more information please check http://www.telerik.com/help/reporting/html5-report-viewer-templates.html.
// templateUrl: '/ReportViewer/templates/telerikReportViewerTemplate-16.1.22.511.html',
//ReportSource - report description
reportSource: {
// The report can be set to a report file name (trdx report definition)
// or CLR type name (report class definition).
report: '@Html.Raw(ViewBag.PopReportFile)',
parameters: {
...Reportparameters
}
},
// Specifies whether the viewer is in interactive or print preview mode.
// PRINT_PREVIEW - Displays the paginated report as if it is printed on paper. Interactivity is not enabled.
// INTERACTIVE - Displays the report in its original width and height without paging. Additionally interactivity is enabled.
viewMode: telerikReportViewer.ViewModes.PRINT_PREVIEW,
// Sets the scale mode of the viewer.
// Three modes exist currently:
// FIT_PAGE - The whole report will fit on the page (will zoom in or out), regardless of its width and height.
// FIT_PAGE_WIDTH - The report will be zoomed in or out so that the width of the screen and the width of the report match.
// SPECIFIC - Uses the scale to zoom in and out the report.
scaleMode: telerikReportViewer.ScaleModes.SPECIFIC,
// Zoom in and out the report using the scale
// 1.0 is equal to 100%, i.e. the original size of the report
scale: 1.0,
enableAccessibility: false,
//If set to true shows the Send Mail Message toolbar button
sendEmail: { enabled: false },
});
});
</script>
I want to match the ReportViewer with the PrintView.
We handed over the location, size, etc. to the report parameter and confirmed that it would enter the corresponding location.
Thankfully, in the previous question (see: https://www.telerik.com/forums/how-to-stretch-in-textbox))
This is the comparison between putting the value in svg and normal image in PictureBox.
When it is an image, the ReportViewer and PrintView seem to match normally.
However, when stretching the value with svg, ReportViewer and PrintView look different.
Please help me how to set it up in order to correct that part.
